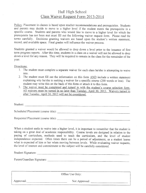
Students were given three things to bring home for discussion: A sample course selection form, a timeline of the course selection process, and a sample class waiver form. Below are copies of each of the forms.
The week after April vacation students will be given their course selection form to complete and have signed by a parent. We encourage all students and families to review the forms, look at the Program of Studies, and consult their teachers over the next few days to best determine which classes will be the best fit. The Program of Studies can be found on the Hull High School main page on the Town of Hull's website (Link to the HHS page: http://www.town.hull.ma.us/Public_Documents/HullMA_HighSchClass/homepage)
Students will choose their elective courses later in the Spring. If you have any questions about course selection, please reach out to your student's guidance counselor.
![]() |
| This is the front of the Course Selection Form. It includes information on prerequisite requirements, the waiver policy, and Advanced Placement classes. |
![]() |
This is a sample of the form that will be completed by current juniors. If your student is in the class of 2014, please review their course options.
|
![]() |
| This is a sample of the form that will be used by current sophomores. If your student is in the class of 2015, please review their course options. |
This a sample of the form that will be completed by current freshmen. If your student is a member of the class of 2016, please reivew their course options.
|




